истории
Восемь лет без школы. Чем закончилось история с семейным образованием у известной в Перми мамы хоумскулера
ТЕКСТ_новости Перми
пїЅпїЅпїЅ пїЅпїЅпїЅпїЅпїЅпїЅпїЅ


В Перми будут патрулировать городские фонтаны


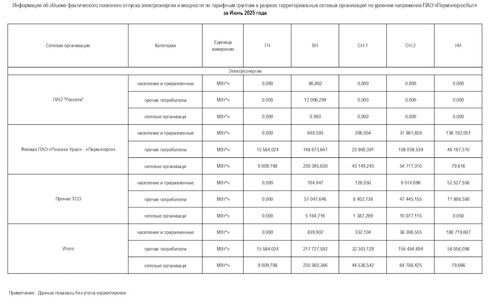
18 июля 2025 | 14:00

ПЭСК: информация об объеме полезного отпуска по ТСО за июнь 2025 года

Информация об объеме полезного отпуска по ТСО за июнь 2025 года - скачать файл в полном размере.

Смотреть на сайте:

2025_06-100-sm.jpg

25 мая 2026 | 16:49

Пермский производитель обуви TREK сообщил о возможности прекращения работы

Пермский производитель обуви TREK сообщил о снижении экономических показателей компании. Это связано с общим кризисом в отрасли. Как ранее сообщали федеральные СМИ, в России закрываются сотни обувных компаний. Они столкнулись с удорожанием материалов и ростом эксплуатационных расходов, конкуренцией с импортом, спадом покупательной способности клиентов. 

Пермская фабрика запустила первое в стране производство футбольных бутс

TREK продолжает работу из-за того, что компания выпускает не только обычную обувь, но и лыжные ботинки, коньки, футбольные бутсы. Производство обуви для футболистов было запущено в 2024 году и является единственным в России.

Из-за экономического спада компания сократила персонал - сейчас работает 75 человек, а в начале года было 400 сотрудников. При ухудшении ситуации TREK не исключает возможного закрытия.  Компания рассчитывает на поддержку покупателей. Для роста продаж TREK намерен проводить различные акции и распродажи. 

Пермская обувная фабрика TREK основана в 2004 году. 
Александр Волков (агентство новостей ТЕКСТ).

25 мая 2026 | 12:21

Пермский застройщик анонсировал возведение ЖК около ТЮЗа

Компания «Город мечты» анонсировала начало строительных работ на площадке около ТЮЗа на ул. Екатерининской, 72. Здесь планируется возвести 6-8 этажный ЖК бизнес-класса «Дом у ТЮЗа».

В Перми показали проект нового здания около ТЮЗа

Застройка этого участка обсуждается более 15 лет. Ранее компания «Капитель» планировала возвести здесь бизнес-центр в 12 этажей. Но в 2017 году власти выступили против здания такой высоты в центре города. 

Новый проект в прошлом году получил одобрение градсовета. Для этого здания архитекторы использовали синтез традиционных классических мотивов и новых форм. «Террасирование в сторону ТЮЗа ещё больше подчеркивает сам объект культурного наследия», - считают авторы проекта.

Как сообщалось ранее, большинство квартир будут площадью 50–110 кв. м.  Сумма инвестиций в проект составит более 2,5 млрд руб. 
Александр Волков (агентство новостей ТЕКСТ).

22 мая 2026 | 07:25

Налоговая служба провела массовую проверку пермских пунктов выдачи заказов

В Пермском крае ФНС провела масштабную проверку пунктов выдачи заказов маркетплейсов (ПВЗ). Налоговиков в первую очередь интересовали сотрудники, которые работают без оформления. 

Пермский край вошел в пятёрку регионов с максимальными зарплатами курьеров

По оценке ФНС в Пермском крае работают более 1300 ПВЗ. При этом более двух тысяч работников ПВЗ официально не оформлены, с их зарплаты не выплачиваются страховые взносы и НДФЛ.

Результаты проверки


К концу апреля владельцы ПВЗ уже оформили 147 человек. По оценке ФНС, это принесло бюджету 5,8 млн рублей НДФЛ и страховых взносов.

После оформления у работодателей снизились риски доначисления умышленно неудержанного НДФЛ, блокировки счетов, привлечения к административной ответственности по ч. 1 ст. 5.27 КоАП.

Работники смогут получить стаж для начисления пенсии, больничные, выплаты при увольнении, налоговые вычеты по НДФЛ; в случае конфликта с работодателем – права обратиться в трудовую инспекцию.
Александр Волков (агентство новостей ТЕКСТ). Фото Freepik.
Строительство термального комплекса на пляже в Перми начнется в этом году
Планируется построить пляжные бары, кафе, открытые пляжные бассейны, спортивные площадки и пункты проката пляжного инвентаря.
  • Стало известно место строительства самого высокого здания Перми
  • В Перми начали подготовку котлована под первый в городе паровой фонтан
  • Парфенон над городом: какие спорные архитектурные проекты можно увидеть в современной Перми
В Перми установят дополнительные сирены для оповещения о ЧС
анализ ситуации
В пермских аптеках выросли продажи импортных лекарств
В Пермском крае ожидается волна тепла и шквал
В Перми началась подготовка площадки будущего стадиона «Трудовые резервы»
Летний пермский фестиваль «Город встреч» представит первое шоу 12 июня
Побывать на «Острове». Как будет работать первая арт-резиденция Дягилевского фестиваля и почему туда стоит приехать обычным зрителям
Открытие второго ресторана «Кисмараули» в Перми перенесли на июнь
Проекты
Пермские трамваи получат мягкий приоритет проезда на 30 участках
Данные
Самую большую опасность для аллергиков в Перми представляет берёза
читать далее
Как выглядела новогодняя Пермь в прошлом веке
Масштабно отмечать Новый год на улицах Перми начали в послевоенное время. Посмотрите, как это было. 
14107
1769667815
В советское время для озеленения Компроса использовали пальмы
Необычные для местного климата растения можно было встретить на Комсомольской площади и около кинотеатра «Кристалл». Рассказываем, как был организован этот проект.
243043
1632804052
.
анализ ситуации
Без Будды и вина: каких проектов лишилась Пермь в 2025 году
В прошлом году Пермь потеряла сразу несколько проектов с многолетней историей, давайте их вспомним.
114885
1769668678
Архитектура
Красивая Пермь
Пять замечательных зданий на окраинах Перми, ради которых стоит туда съездить.
215608
1615748400
18+
  • О проекте
  • Контакты
  • Реклама на сайте
  • Сообщить об ошибке
  • Тесты
Информационное агентство Текст
Регистрационный номер ИА №ФС77-76791 выдан Роскомнадзором  6 сентября 2019 года. Главный редактор: Майоров Борис Борисович
Издатель: ООО «Регион-Информ-Пермь».

Тел.:   8922 35 58 769, E-mail: info@chitaitext.ru. 614007, г. Пермь, ул. 25 Октября, д.66, офис 3.

Политика обработки персональных данных
Фильтры
26 мая 2026
Тексты за
Тексты из сюжета
Показать
Очистить
Строительство термального комплекса на пляже в Перми начнется в этом году
Планируется построить пляжные бары, кафе, открытые пляжные бассейны, спортивные площадки и пункты проката пляжного инвентаря.
В Перми установят дополнительные сирены для оповещения о ЧС
анализ ситуации
В пермских аптеках выросли продажи импортных лекарств
В Пермском крае ожидается волна тепла и шквал
В Перми началась подготовка площадки будущего стадиона «Трудовые резервы»
Летний пермский фестиваль «Город встреч» представит первое шоу 12 июня
Побывать на «Острове». Как будет работать первая арт-резиденция Дягилевского фестиваля и почему туда стоит приехать обычным зрителям
Открытие второго ресторана «Кисмараули» в Перми перенесли на июнь
Подгружаем...
11:44
В Перми установят дополнительные сирены для оповещения о ЧС
11:06
В пермских аптеках выросли продажи импортных лекарств
11:02
Делегация Пермской торгово-промышленной палаты с деловым визитом посетила «НОВОГОР»
10:55
В Пермском крае ожидается волна тепла и шквал
09:49
МегаФон расширил покрытие в санатории «Демидково»
07:43
В Перми началась подготовка площадки будущего стадиона «Трудовые резервы»
07:27
Летний пермский фестиваль «Город встреч» представит первое шоу 12 июня
07:14
Побывать на «Острове». Как будет работать первая арт-резиденция Дягилевского фестиваля и почему туда стоит приехать обычным зрителям
07:09
В Перми 26 мая пройдут антитеррористические учения
25 мая 2026:
22:10
Минприроды рассказало о судьбе лося, который зашел в Закамск
16:49
Пермский производитель обуви TREK сообщил о возможности прекращения работы
16:30
В Перми запустили сервис для привлечения медицинских туристов
16:15
Бастрыкин затребовал доклад по уголовному делу о падении дерева на людей в Перми
15:51
В СФР Прикамья рассказали, кто в 2026 году имеет право на надбавку к пенсии
14:54
Открытие второго ресторана «Кисмараули» в Перми перенесли на июнь
14:46
СК возбудил уголовное дело из-за падения дерева на людей в Перми
14:36
В Мотовилихе планируется построить новый спорткомплекс для теннисистов
12:21
Пермский застройщик анонсировал возведение ЖК около ТЮЗа
11:42
С начала года из Прикамья депортировали 218 иностранцев
11:30
В лагерях Прикамья вводят частичный запрет на использование смартфонов
Ещё в Тексте
Потяните наверх для обновления...
Подгружаем...